Package Include
JCB 225T Skidsteer Loader Service Repair Manual
Language
English
File Format
PDF
Total Number of pages
1520
Publication Number
EN- 9813/7450- ISSUE 2- 12/2017
Compatible
Windows system / Mac system / Android / IOS / Chrome OS / Any device capable of opening a PDF file
Additional Requirement
User must have any software that can open the pdf format
Shipping Policy
All of our products are digital and hence supplied immediately upon purchase.Once your purchase is complete, you will have immediate access to the product via a download link. Total download size: 203 MB
With This Service Repair Manual The Technician can solve any problems encountered in the operation of your JCB Skidsteer Loader
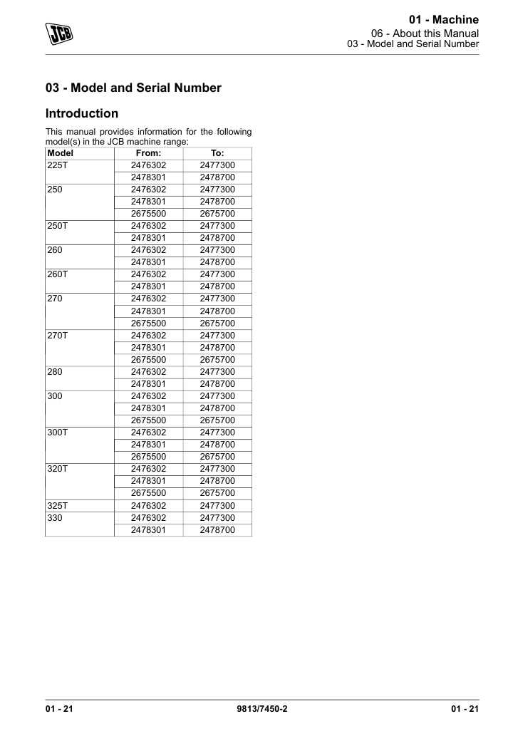
Compatible Machine Models JCB 225T Skidsteer Loader
Compatible Serial Numbers Range
From 2476302 To 2477300
From 2478301 To 2478700
With this original factory Service manual, the technician can detect and solve any problems encountered when repairing your JCB 225T Skidsteer Loader and This workshop repair manual for the JCB 225T Skidsteer Loader provides detailed instructions and technical information for maintenance and repair tasks to keep your equipment in top condition.
More about this service manual
The JCB 225T Skidsteer Loader Service Repair Manual provides essential guidance for maintenance and repairs. It includes detailed steps for troubleshooting common issues. Users can find diagrams and specifications that help identify parts and functions. The manual covers hydraulic systems, electrical issues, and engine care. Knowing how to follow this guide can extend the life of the machine. It serves as a valuable resource for operators and technicians alike, ensuring efficient operation. Regular reference to the manual can prevent costly repairs and downtime. Proper service enhances performance and safety on any job site.
Main Contents of this Service Repair Manual
Machine
Attachments, Couplings and Load Handling
Body and Framework
Operator Station
Heating, Ventilating and Air Conditioning (HVAC)
Engine
Fuel and Exhaust System
Cooling System
Brake System
Steering System
Driveline
Hydraulic System
Electrical System
Fasteners and Fixings
Consumable Products
After Sales
This publication is designed for the benefit of JCB Distributor Service Engineers who are receiving, or have received, training by JCB Technical Training Department.
These personnel should have a sound knowledge of workshop practice, safety procedures, and general techniques associated with the maintenance and repair of hydraulic Earthmoving equipment.
Original Factory Service Repair Manual for the JCB 225T Skidsteer Loader. This manual is very detailed and contains all the official JCB manufacturer specifications, troubleshooting, repair instructions step by step with illustrations and wiring diagrams. Simple to complicated repairs can be completed effortlessly with the information provided. It is 100 percent complete and intact. The manual is specifically written for the DIY as well as the experienced mechanic
This Service manual is very easy to understand, fully printable, and includes original instructions that have been approved by the manufacturer or an authorized representative. It also includes high-quality photographs and diagrams.
The JCB 225T Skidsteer Loader Service Repair Manual is an essential resource for any operator or technician looking to maintain and repair this powerful machine with confidence. This comprehensive manual provides detailed instructions on troubleshooting, servicing, and repairing the JCB 225T, ensuring that you can keep your equipment running smoothly and efficiently. With clear diagrams, step-by-step procedures, and in-depth explanations of the loader’s systems, this manual empowers you to tackle everything from routine maintenance to complex repairs. Whether you’re a seasoned professional or a DIY enthusiast, the JCB 225T Service Repair Manual is your go-to guide for maximizing the performance and longevity of your skidsteer loader, ultimately saving you time and money on costly repairs






